전기 전도체는 줄여서 도체라고 부른다. 전기가 통하기 쉬운 재료로 이루어져 전도도가 높은 재료를 말한다. 인슐레이터는 많지 않은 유동성의 전하들을 가진 부도체로 전류의 흐름을 지지한다. 전기공학에서 도체는 전류를 한 방향 또는 여러 방향으로 흐르게 하는 물질의 한 종류이다. 전선은 전기를 도선을 따라 길게 흐르게 해주는 전기적 도체이다. 구리나 알루미늄과 같은 금속에서 유동적인 대전된 입자를 전자라 한다. 양전하는 배터리의 전해질 양이온 또는 연료전지의 양이온과 같이 유동적이다.
도전율은 물질에 의해서 결정되는 세기 변수이다. 금속에서 세라믹 재질까지 20자리의 차이가 난다. 일반적으로 흑연의 도전율 (10^6S/m) 을 기준으로 이상인 것을 도체, 10^-6S/m 이하인 것을 절연체, 중간 값을 반도체라고 한다. (10^6S/m는 1mm^2의 단면적에 1m 도체 저항이 1옴이 되도록 전기가 통하는 도전율을 말한다.)

전선 크기
전선은 단면도에 의해 측정된다. 보통 제곱 밀리미터로 표현한다.
전도도
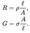
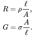
도체 저항은 재료의 종류, 단면적에 의해 결정된다. 두꺼운 구리선은 동일 얇은 구리선보다 더 적은 저항을 받는다. 저항은 길이에 비례한다. 짧은 구리선은 긴 구리선보다 적은 저항을 받는다. 따라서 균일 단면적의 도체저항 R과 전도도 G는

로 계산된다. l은 도체의 길이(m로 측정)이고, A는 제곱미터로 측정되는 도체의 단면적이다. σ는 1미터당 지멘스로 측정되는 도전율, ρ는 미터 옴으로 측정되는 물질의 저항률이다. 저항률과 도전율은 연속적으로 비례하여 도선의 구성 물질로만 결정되고 선의 기하학적 구조로는 결정되지 않는다. 저항률과 도전율은 역수 관계이다. 저항률은 전류와 반대되게 측정되는 물질의 성질이다. 이 수식은 도체 내 전류밀도가 모두 일정하다고 가정하고 있어 이상적으로 실제 상황에 맞지는 않다. 그러나 도선 같은 긴 전도체에서 거의 근사하다.
이 공식은 교류전류가 흐를 때 일치하지 않는다. 이유는 표피효과가 도체 중심 주변부의 전류의 흐름을 방해해서이다. 기하학적 단면과 효율적 단면이 달라져서, 저항이 기댓값보다 높아진다. 유사하게 두 개의 전도체가 교류로 가까이 있으면 근접효과로 저항값이 증가한다. 상용되는 전력 교류주파수에서는 이 효과가 변전소의 부스바 또는 수백 암페어 이상 고전력 케이블 등과 같이 높은 전류를 운반하는 큰 도체들 사이에서 나타난다.
도체의 전류용량
전류를 흐를 수 있게 해주는 양이다. 전기 저항과 관련 있다. 저항이 작은 도체가 많은 양의 전류를 흐를 수 있게 한다. 결과적으로 저항은 도체를 만드는 물질과 도체의 크기에 의해 결정된다. 도체의 단면적이 더 넓으면 단면적이 좁은 도체보다 더 적은 저항을 갖는다. 도체에서 한계온도는 저항에 의한 전력이 도체를 녹게 만드는 지점에 있다. 퓨즈를 제외한 도체는 이러한 한계온도 특성값보다 훨씬 아래에서 일어난다. 가정의 전선은 약 60도까지 가능한 PVC 절연체이다. 이런 전선의 전류는 제한되어 있어 화재의 위험을 야기하며 구리를 60도까지 가열시킬 수 없다. 하지만 더 비싼 테플론 또는 유리 섬유와 같은 절연체는 훨씬 더 높은 온도한계 특성을 가진다.
등방성
전기장이 물질에 적용되어 유도된 전류가 같은 방향으로 흐르게 되면 물질은 등방성의 전기전도체로 불린다. 반면에 전기장으로부터 다른 방향을 가진다면 이방성의 전기전도체로 불린다.
도체의 특징
도체의 성질로 부를 수 있으며 5가지로 나뉜다.
1. 도체 내부의 전기장은 0이다.
2. 도체 내부 자유전자가 많아 전하를 잘 이동시킨다.
3. 도체에 과잉전하를 주면 표면에만 분포, 뾰족한 곳에 많이 분포한다.
4. 도체 표면, 내부는 모두 등전위면이다.
5. 전기력선은 도체 표면에 수직이다.
전도체의 전압
V로 표시하며 V = IR 이다.
V는 볼트 단위의 전압 차이다.
I는 암페어 단위의 전류이다.
R은 옴 단위의 전기 저항이다.
전기 전도체의 종류
물질로 금속, 전해질, 초전도체, 반도체, 플라즈마 그리고 흑연과 전도성 고분자 같은 몇몇 비금속 전도체가 있다.
구리는 높은 전기전도성이 있다. 구리의 납땜질이나 고정이 쉬운 특성으로 경량와이어에 가장 많이 사용된다. 다른 전기 전도체들과 비교했을 때 열처리를 한 구리가 가장 많이 사용되는 국제적인 표준이다. 자주 쓰이는 구리는 빌딩전선, 전동기전선, 케이블, 컴퓨터 전기모선에 전기적 용도로 쓰인다. 국제 열처리 구리표준(IACS)의 101%의 전기전도성을 가지고 있다. 높은 전도성을 가진 구리는 용접, 땜질에 이용할 때 무산소 고전도성 구리를 사용할 수 있다.
은은 구리보다 전도성이 크다. 고가의 금전적인 이유로 실용적으로 활용할 수 없다. 그러나 특성화된 특수 설비에 사용된다. 위성으로 쓰이거나 도금하여 표피효과를 완화 시키는 용도로 쓴다.
알루미늄 와이어는 구리 전도성의 61%를 가지고 있다. 낮은 가격으로 빌딩 와이어에 자주 사용된다. 질량이 가벼워 질량에 비해 구리보다 더 높은 전도성을 띤다. 알루미늄의 성질이 빌딩 와이어로 쓰일 때 문제를 일으킨다. 이는 알루미늄 연결부위에 열을 일으키는 산화물을 형성한다. 또 열이 과부하 되어 장치 연결 모양이 변형될 수 있다. 연결면의 다른 물질들과 다른 열팽창계수를 가지고 있어 연결을 느슨하게 하는데 가속이 된다. 하지만 이런 효과들은 배선 알루미늄 제품으로 사용이 승인된 장치를 사용하여 피할 수 있다.
양극화된 알루미늄 표면은 전도적이지 않고 외장장치 디자인이 전기적으로 연결되게 하면서 외장장치 디자인에 영향을 준다. 파묻힌 케이블이나 가공인입선에서 낮은 전압을 요구하는 알루미늄 도선은 연결부위에 열 발생이 쟁점이 된다. 이를 위해 호환할 수 있는 연결체, 접속체 등 설비가 있어야 한다. 알루미늄은 구조적 보강철과 결합하여 고전압 송전선에 쓰이는 가장 흔한 금속이다.
전자쌍을 공유하는 결합은 단순히 전자를 공유하는 것이므로 전류가 흘렀을 때 이온의 분리가 일어나지 않는다. 9개의 탄소와 18개의 수소원자로 이루어진 옥테인 같은 구조적 복합체는 전기적 성질을 띠지 못한다. 기름은 탄화수소이고 탄소의 4 원자 결합을 가져서 전자쌍을 다른 수소 같은 원소들과 공유하며 전자를 잃거나 얻지 않지 않게 되고 이온을 형성하지 않는다. 따라서 오일이나 다른 유기적 결합체 액체는 전기적 성질을 띨 수 없다.
이를 통해 증류수는 전도체가 아니지만, 소금 같은 전해질이 아주 조금이라도 섞이면 즉시 전도체로 바뀌는 전기적 특성을 띤다.
'전기전력공학' 카테고리의 다른 글
| 감전과 정전기에 대하여 알아보자. (0) | 2025.05.12 |
|---|---|
| 전기기계, 전자기기, 누전차단기에 대해 알아보자. (0) | 2025.05.12 |
| 전기철도에서 절연 구간에 대하여 알아보자 (6) | 2025.05.08 |
| 송전과 전력선 통신에 대해 알아보자 (1) | 2025.05.02 |
| 우리 근처에 함께 있는 전력시설물을 알아보자 (0) | 2025.05.02 |